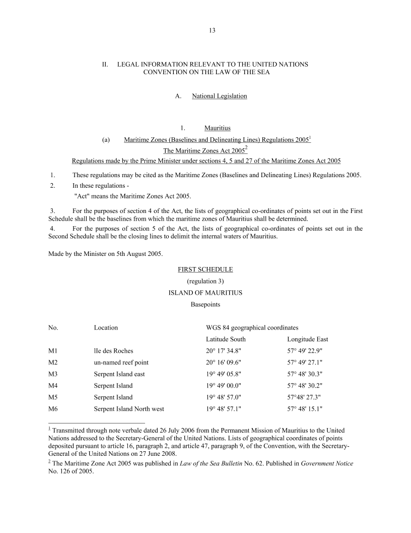
-
Legal information relevant to the United Nations convention on the law of the sea
- Source: Law of the Sea Bulletin, Volume 2008, Issue 67, Apr 2009, p. 13 - 57
- French, Spanish
-
- 02 Apr 2009
Preview this article:
Legal information relevant to the United Nations convention on the law of the sea, Page 1 of 1
< Previous page Next page > /docserver/preview/fulltext/22186018/2008/67/1dc6368c-en-1.gif
There is no abstract available.
© United Nations

